おもしろいことをたくさんしたい
×
[PR]上記の広告は3ヶ月以上新規記事投稿のないブログに表示されています。新しい記事を書く事で広告が消えます。
町山智浩さんの<映画の見方>がわかる本、ブレードランナーの未来世紀を読んだ。
町山さんは私がもっとも信頼している映画評論家です。博士も知らないニッポンのウラ、博士の異常な鼎談で知りました。
町山さんの評論は他の評論と何が違うかって、とにかく監督、脚本家などのインタビューや製作のための資料などを出来る限り集め、そしてその作品の周辺に絡み合い影響をし合っている膨大な作品群を紐解き、その中からこの作品は何を表したかったかなどを説明していくため、とても納得がいく。独りよがりのどーでもいい感想になっていないのだ。また、めちゃくちゃ博識な方でその作品が作られた時代背景や思想の歴史などの観点からも説明がなされている。
難解で抽象的な言葉のレトリック、レトリックで分かったような分からないような評論を書いている奴とは一味も二味も違う。っていうか抽象的な言葉ばっかり使ってちっとも具体的な話や具体例を出してくれない評論家は何を思って書いているのかな。分かって欲しいなんて鼻から思っていないのか。
で、この「ブレードランナーの未来世紀」なんですが、映画は「ビデオドローム」、「未来世紀ブラジル」、「プラトーン」、「グレムリン」、「ターミネーター」、「ブルーベルベット」、「ロボコップ」、「ブレードランナー」のことが書かれている。どれをとってもへぇー!の連続なのだが、中でも「ブレードランナー」の評論は本当に面白かった!前作である70年代の映画を評論した「映画の見方が分かる本」での「ロッキー」の評論を見て泣きそうになったけど、こっちも相当すごいものだった!
よく「ブレードランナー」の原作はフィリップ・K・ディックの「アンドロイドは電気羊の夢を見るか?」であると言われるが、監督のリドリー・スコットは「アンドロイドは電気羊の夢を見るか?」を読んでいないというのがまず驚き!amazonのクチコミで原作の小説の方が映画よりも数段上だっとか言ってる奴は恥ずかしがって欲しい。
デッカードの人物像の元になった作品などを数多く上げ、そこらへんの部分も十分に楽しめるが、中でも素晴らしいのが「ブレードランナーとポストモダンの関係」である。こんなこと丁寧に書いてくれる評論家って町山さんだけだと思う。
簡単に本に書いてあったことをまとめると、ブレードランナーの時代までに三つの時代がある。それは近代以前(モダンより前)と近代(モダン)とポストモダン(モダンの次)である。
近代以前(16世紀以前ぐらい)はキリスト教の教義や伝統が支配的だった。この時代の「物語」とは「聖書」であり、「主人公」は神であり、人は脇役に過ぎない。人は「聖書」に書かれていることを良きものとし、神様の操り人形のようにその通りに行動をしていた。
しかし、近代(17、18世紀以降)ではルネッサンスの人文主義やフランスの啓蒙主義、科学の発展により、何やら神という存在が嘘っぽく思えてきたり、人間が作るものにも価値があると思い始め、「物語」は「日常に流されていた主人公が、現実に潜む問題に目覚め、自分の意志が状況を改善しようと行動する」というものになり、人間が神から「主人公」の座を奪い取った。この近代(モダン)には「勉強して立派な大人になって世の中を良くしましょう」という大きな物語が根底にあったのだ。
つまり、この近代(モダン)では「頑張れば世界は徐々により良く発展していく(啓蒙→主体的になる→全体の進歩)、そして世界にその秩序をもたらす主人公(ヒーロー)はこの俺様だ!!」ということなのだ。
しかし、ポストモダン(モダンの次)の時代(1980年頃)に人間は自分達が思い描いていたようなプログレッシブで華やかなユートピアのような未来はどうやら来ないということが分かり始めてしまった。この頃に石油ショックがあったり、人類が月に立ったり、超高層ビルが建ち始めるんだけど、ここまで来ると人間も「なんか思い描いていたのとちょっと違うぞ・・・」と違和感を感じ始める。ユートピアのような未来はレトロ・フューチャー(かつて夢見ていた未来)になってしまったのだ。
ポストモダンの時代ではモダンの時代の「頑張れば世界は徐々により良く発展していく」という「物語」が崩壊してしまったのだ。「物語」が消えれば「主人公(主体)」が消える。そして、その主体を失くしてしまった主人公が「ブレードランナー」の主人公「デッカード」であるというのだ!この繋がりは身震いするほど綺麗だ。
確かにデッカードはなんとなくぼんやりしていて、ロイと戦っている時も今までのヒーロー像からは懸け離れた姿を曝け出している。というか、ロイ・バッティの方が断然かっこいい!!ただ、最後にデッカードはペガサスの折り紙を拾ってオットコ前の顔を見える(最後にやっと!)。
私達は「物語」のない時代を生きていて「何をどうしたらいいのか、何をやったらいいのか」よく分からないまま生きている。私はこれからの時代に近代(モダン)の時代の「物語」である「頑張れば世界は徐々により良く発展していく」ということの、『「より良い発展」とは具体的に何か』ということをみんなで考えることに、「人間がこれからどのように生きていけばよいか」という問題への解答のヒントが隠されているように感じる。
より良いハイテク機器を開発していくことがより良い発展なのか。差別をなくし人類みなが平等の世界を目指していくのがより良い発展なのか。宇宙へ移住していくことがより良い発展なのか。
とにかく、ぜひ、この「<映画の見方>がわかる本」はみなさん買ってそして読んでください。本当にすごい本だと思います。
町山さんは私がもっとも信頼している映画評論家です。博士も知らないニッポンのウラ、博士の異常な鼎談で知りました。
町山さんの評論は他の評論と何が違うかって、とにかく監督、脚本家などのインタビューや製作のための資料などを出来る限り集め、そしてその作品の周辺に絡み合い影響をし合っている膨大な作品群を紐解き、その中からこの作品は何を表したかったかなどを説明していくため、とても納得がいく。独りよがりのどーでもいい感想になっていないのだ。また、めちゃくちゃ博識な方でその作品が作られた時代背景や思想の歴史などの観点からも説明がなされている。
難解で抽象的な言葉のレトリック、レトリックで分かったような分からないような評論を書いている奴とは一味も二味も違う。っていうか抽象的な言葉ばっかり使ってちっとも具体的な話や具体例を出してくれない評論家は何を思って書いているのかな。分かって欲しいなんて鼻から思っていないのか。
で、この「ブレードランナーの未来世紀」なんですが、映画は「ビデオドローム」、「未来世紀ブラジル」、「プラトーン」、「グレムリン」、「ターミネーター」、「ブルーベルベット」、「ロボコップ」、「ブレードランナー」のことが書かれている。どれをとってもへぇー!の連続なのだが、中でも「ブレードランナー」の評論は本当に面白かった!前作である70年代の映画を評論した「映画の見方が分かる本」での「ロッキー」の評論を見て泣きそうになったけど、こっちも相当すごいものだった!
よく「ブレードランナー」の原作はフィリップ・K・ディックの「アンドロイドは電気羊の夢を見るか?」であると言われるが、監督のリドリー・スコットは「アンドロイドは電気羊の夢を見るか?」を読んでいないというのがまず驚き!amazonのクチコミで原作の小説の方が映画よりも数段上だっとか言ってる奴は恥ずかしがって欲しい。
デッカードの人物像の元になった作品などを数多く上げ、そこらへんの部分も十分に楽しめるが、中でも素晴らしいのが「ブレードランナーとポストモダンの関係」である。こんなこと丁寧に書いてくれる評論家って町山さんだけだと思う。
簡単に本に書いてあったことをまとめると、ブレードランナーの時代までに三つの時代がある。それは近代以前(モダンより前)と近代(モダン)とポストモダン(モダンの次)である。
近代以前(16世紀以前ぐらい)はキリスト教の教義や伝統が支配的だった。この時代の「物語」とは「聖書」であり、「主人公」は神であり、人は脇役に過ぎない。人は「聖書」に書かれていることを良きものとし、神様の操り人形のようにその通りに行動をしていた。
しかし、近代(17、18世紀以降)ではルネッサンスの人文主義やフランスの啓蒙主義、科学の発展により、何やら神という存在が嘘っぽく思えてきたり、人間が作るものにも価値があると思い始め、「物語」は「日常に流されていた主人公が、現実に潜む問題に目覚め、自分の意志が状況を改善しようと行動する」というものになり、人間が神から「主人公」の座を奪い取った。この近代(モダン)には「勉強して立派な大人になって世の中を良くしましょう」という大きな物語が根底にあったのだ。
つまり、この近代(モダン)では「頑張れば世界は徐々により良く発展していく(啓蒙→主体的になる→全体の進歩)、そして世界にその秩序をもたらす主人公(ヒーロー)はこの俺様だ!!」ということなのだ。
しかし、ポストモダン(モダンの次)の時代(1980年頃)に人間は自分達が思い描いていたようなプログレッシブで華やかなユートピアのような未来はどうやら来ないということが分かり始めてしまった。この頃に石油ショックがあったり、人類が月に立ったり、超高層ビルが建ち始めるんだけど、ここまで来ると人間も「なんか思い描いていたのとちょっと違うぞ・・・」と違和感を感じ始める。ユートピアのような未来はレトロ・フューチャー(かつて夢見ていた未来)になってしまったのだ。
ポストモダンの時代ではモダンの時代の「頑張れば世界は徐々により良く発展していく」という「物語」が崩壊してしまったのだ。「物語」が消えれば「主人公(主体)」が消える。そして、その主体を失くしてしまった主人公が「ブレードランナー」の主人公「デッカード」であるというのだ!この繋がりは身震いするほど綺麗だ。
確かにデッカードはなんとなくぼんやりしていて、ロイと戦っている時も今までのヒーロー像からは懸け離れた姿を曝け出している。というか、ロイ・バッティの方が断然かっこいい!!ただ、最後にデッカードはペガサスの折り紙を拾ってオットコ前の顔を見える(最後にやっと!)。
私達は「物語」のない時代を生きていて「何をどうしたらいいのか、何をやったらいいのか」よく分からないまま生きている。私はこれからの時代に近代(モダン)の時代の「物語」である「頑張れば世界は徐々により良く発展していく」ということの、『「より良い発展」とは具体的に何か』ということをみんなで考えることに、「人間がこれからどのように生きていけばよいか」という問題への解答のヒントが隠されているように感じる。
より良いハイテク機器を開発していくことがより良い発展なのか。差別をなくし人類みなが平等の世界を目指していくのがより良い発展なのか。宇宙へ移住していくことがより良い発展なのか。
とにかく、ぜひ、この「<映画の見方>がわかる本」はみなさん買ってそして読んでください。本当にすごい本だと思います。
PR
ミッキーローク復活の物語となったレスラー。
あらすじは、80年代に国民的ヒーローになったプロレスラーの20年後にどうなっているのかっていうもの。家族も、金も、名声もなくなって、1回の試合でもらえるのが200ドルぐらい。それも家賃で消えていく(トレーラーハウス)。プロレスラーなんでめっちゃ体を酷使していて、ステロイドはもちろん、鎮痛剤とかとにかく薬はすごい飲む。痛み止め飲まないと痛くて眠れない。副職としてスーパーでアルバイトしている。
で、ある時心臓の病で倒れて、心臓を手術されちゃって激しい運動が出来なくなって引退。家を出て行っていた娘ともう一回よりを戻したがったり、ストリッパーの女と一線を越えたお付き合いをしたいのだが、どれもこれも自業自得でダメになっていく。
そうして最後に彼が行き着いたのはやっぱり、リングの上。俺にはこれしかないんだ、と言って再びプロレスの試合をする。
このプロレスラーのランディがまんまミッキー・ロークの半生だとか、プロレスラーの悲哀だとか、スプリングスティーンの歌がどうとか、そういうことは色々な所で語り尽くされているのでわざわざ書きませんが、私が一番この脚本で偉大だと思ったのは、本当に最後ランディにはプロレスしか残っていなかったということだ。
最後にご都合主義な映画では、試合に勝ってストリップの女と抱き合うとか、娘がよりを戻してくれるとかなりそうなもんだけど、最後の最後ランディは本当のスッカラカンで、もうほんとになんもない。プロレスだけ。
進研ゼミばりの自分が変われば世界も変わる(所謂セカイ系)などというものは世の中断じてない。孤独に苛まれてランディは娘やストリップの女にアプローチするが、どれもだめで、死ぬ覚悟でプロレスに戻っていくランディは命以上のものを、使命、宿命のようなものをそこに見出している。
ランディは「現実の方が痛い」と言ってリングに立つんだけど、それを現実逃避って言われると悲しくなるな。ランディは観客を楽しませる一流の仕事をこなしているプロフェッショナルであり、社会に対して何らかの意味のあることをしっかりとしているはずだ。それを現実逃避の一言で片づけちゃうと周りの普通の仕事している人も現実逃避になっちゃうんじゃないかな。ランディは「プロレス以外に何もない現実」をしっかり見据えてリングに立つんだから現実逃避とは言えないのでは。
世の中、あれもこれもなんて、なかなかうまくいかないことばっかなのだ。
あらすじは、80年代に国民的ヒーローになったプロレスラーの20年後にどうなっているのかっていうもの。家族も、金も、名声もなくなって、1回の試合でもらえるのが200ドルぐらい。それも家賃で消えていく(トレーラーハウス)。プロレスラーなんでめっちゃ体を酷使していて、ステロイドはもちろん、鎮痛剤とかとにかく薬はすごい飲む。痛み止め飲まないと痛くて眠れない。副職としてスーパーでアルバイトしている。
で、ある時心臓の病で倒れて、心臓を手術されちゃって激しい運動が出来なくなって引退。家を出て行っていた娘ともう一回よりを戻したがったり、ストリッパーの女と一線を越えたお付き合いをしたいのだが、どれもこれも自業自得でダメになっていく。
そうして最後に彼が行き着いたのはやっぱり、リングの上。俺にはこれしかないんだ、と言って再びプロレスの試合をする。
このプロレスラーのランディがまんまミッキー・ロークの半生だとか、プロレスラーの悲哀だとか、スプリングスティーンの歌がどうとか、そういうことは色々な所で語り尽くされているのでわざわざ書きませんが、私が一番この脚本で偉大だと思ったのは、本当に最後ランディにはプロレスしか残っていなかったということだ。
最後にご都合主義な映画では、試合に勝ってストリップの女と抱き合うとか、娘がよりを戻してくれるとかなりそうなもんだけど、最後の最後ランディは本当のスッカラカンで、もうほんとになんもない。プロレスだけ。
進研ゼミばりの自分が変われば世界も変わる(所謂セカイ系)などというものは世の中断じてない。孤独に苛まれてランディは娘やストリップの女にアプローチするが、どれもだめで、死ぬ覚悟でプロレスに戻っていくランディは命以上のものを、使命、宿命のようなものをそこに見出している。
ランディは「現実の方が痛い」と言ってリングに立つんだけど、それを現実逃避って言われると悲しくなるな。ランディは観客を楽しませる一流の仕事をこなしているプロフェッショナルであり、社会に対して何らかの意味のあることをしっかりとしているはずだ。それを現実逃避の一言で片づけちゃうと周りの普通の仕事している人も現実逃避になっちゃうんじゃないかな。ランディは「プロレス以外に何もない現実」をしっかり見据えてリングに立つんだから現実逃避とは言えないのでは。
世の中、あれもこれもなんて、なかなかうまくいかないことばっかなのだ。
普通文庫本って1行38文字から42文字ぐらいで、1ージに18行ぐらいが相場だと思う、で1ページ684から756文字ぐらい。
それで、二段組みとかだと、一行25文字ぐらいで20行が2段で、1000文字ぐらい。
なので、二段組みの本でページ数が300ページとかだと、文庫本にすると約1.4倍のページ数になるってことで、420ページぐらいになる。
まあ、それはどうでもいいんだけど、何故文庫本の小説って絶対に2段組みにはならないのか?1行読んで次の1行の先頭に目を移す時に絶対に2段組みにしたほうがロスが少ないように感じる。
文庫本でも行が長いような感じがするんだけど、それが単行本とか一回りでかいサイズの本で2段組みとかじゃなくて、長い行にされるとフラストレーションが爆発しそうになる。
文庫本は2段組み、単行本は3段組み(もしかしたら4段組み)ぐらいの方が絶対に読みやすいと思うんだけど・・・
2段組み、3段組みにしても文字を追う時の距離は変わらないとして、問題は行の末端から行の先端に移動する時の差が読むスピードに関係していると考えられる。
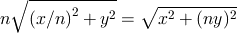
しかし、段組みのされていない縦書きの文章において、行の長さをx、行間の長さをyとすると距離は
で、n段に分割するとすると
ってなって、分割した方が目の移動する距離は大きなっているのが分かる。
うーん、直観として感じたのと違う。やっぱり文章を読む時は一つ一つ目で追って行ってるんじゃなくて、1つの文章をパッと見た時に1つの視界の中に漏れなく収まるということが関係きているように感じる。
それで、二段組みとかだと、一行25文字ぐらいで20行が2段で、1000文字ぐらい。
なので、二段組みの本でページ数が300ページとかだと、文庫本にすると約1.4倍のページ数になるってことで、420ページぐらいになる。
まあ、それはどうでもいいんだけど、何故文庫本の小説って絶対に2段組みにはならないのか?1行読んで次の1行の先頭に目を移す時に絶対に2段組みにしたほうがロスが少ないように感じる。
文庫本でも行が長いような感じがするんだけど、それが単行本とか一回りでかいサイズの本で2段組みとかじゃなくて、長い行にされるとフラストレーションが爆発しそうになる。
文庫本は2段組み、単行本は3段組み(もしかしたら4段組み)ぐらいの方が絶対に読みやすいと思うんだけど・・・
2段組み、3段組みにしても文字を追う時の距離は変わらないとして、問題は行の末端から行の先端に移動する時の差が読むスピードに関係していると考えられる。
しかし、段組みのされていない縦書きの文章において、行の長さをx、行間の長さをyとすると距離は
うーん、直観として感じたのと違う。やっぱり文章を読む時は一つ一つ目で追って行ってるんじゃなくて、1つの文章をパッと見た時に1つの視界の中に漏れなく収まるということが関係きているように感じる。
2001年に殺害されたアンドリュー・バッグビィの子供の頃からの友人である監督による作品。アンドリュー・バッグビィはペンシルヴァニアの駐車場で殺害される。その第一容疑者であった彼の元ガールフレンドは、アンドリューの子供を妊娠・出産し、ザカリーと名付ける。
うーん、なかなか落ち込んでしまう話だ。
この映画の救いようのないのは、殺されたアンドリュー・バッグビィの両親を襲う地獄の理不尽さ、そしてこの映画がドキュメンタリーであり実際にあった話であるということだ。
この映画に寄せた水道橋博士のメッセージにあるように「この世にも地獄はある。」
自分達の行いと全く関係なく理不尽に不条理に地獄は人を襲う。それはいくら気を付けていても、地獄に堕ちる時は堕ちる、どうしようもない。
私は幸運なことにこのような地獄を今のところ経験していないため、綺麗事のようなことしか言えないが、大切なのは地獄に堕ちても尚立ち上がり続けることだと思う。それをアンドリューの両親は見事に映画の中で体現している。
後この映画を見て思ったのは、この理不尽な地獄に屈することなく行動する両親を多くの人が支えているということ。この映画は初めはメモリアルムービーとして撮られているので多くの人が出演するのは当たり前なんだけど、とにかくこの両親に対する評判がすこぶる良くって、しかもその関係がどれをとっても濃密なものなのだ。
父親が一時期本気でシャーリーのことを殺そうと計画を立てていたと告白しているが、そのようなシャーリーに屈するような悲惨なことにならず、またアンドリュー達の後を追って死んでしまうようなことにならなかったのはひとえにこのような人と人とのつながりがあったためだと思える。
東京事変で新しい文明開化のPVです。
なかなかユニークなPVで見ていて気持ちいいんですが、このPVで一箇所たまらなく好きなシーンがあって、どこかというと、3:58のところで林檎がぴゃ~って投げ飛ばしたマイクが4:00のところの走るキーボードに乗る伊澤の後ろをしゅる~んってすっ飛んでいくところ。
なんていうか伏線が回収されたような爽快感があって好きですし、あんなにマイクが吹っ飛んでいくところって見たことないし。
カテゴリー
最新記事
(07/22)
(03/09)
(11/26)
(10/16)
(10/13)
最新トラックバック
ブログ内検索
リンク
プロフィール
HN:
smile
性別:
男性
アクセス解析
Amazon
