おもしろいことをたくさんしたい
×
[PR]上記の広告は3ヶ月以上新規記事投稿のないブログに表示されています。新しい記事を書く事で広告が消えます。
普通文庫本って1行38文字から42文字ぐらいで、1ージに18行ぐらいが相場だと思う、で1ページ684から756文字ぐらい。
それで、二段組みとかだと、一行25文字ぐらいで20行が2段で、1000文字ぐらい。
なので、二段組みの本でページ数が300ページとかだと、文庫本にすると約1.4倍のページ数になるってことで、420ページぐらいになる。
まあ、それはどうでもいいんだけど、何故文庫本の小説って絶対に2段組みにはならないのか?1行読んで次の1行の先頭に目を移す時に絶対に2段組みにしたほうがロスが少ないように感じる。
文庫本でも行が長いような感じがするんだけど、それが単行本とか一回りでかいサイズの本で2段組みとかじゃなくて、長い行にされるとフラストレーションが爆発しそうになる。
文庫本は2段組み、単行本は3段組み(もしかしたら4段組み)ぐらいの方が絶対に読みやすいと思うんだけど・・・
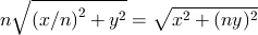
2段組み、3段組みにしても文字を追う時の距離は変わらないとして、問題は行の末端から行の先端に移動する時の差が読むスピードに関係していると考えられる。
しかし、段組みのされていない縦書きの文章において、行の長さをx、行間の長さをyとすると距離は
で、n段に分割するとすると
ってなって、分割した方が目の移動する距離は大きなっているのが分かる。
うーん、直観として感じたのと違う。やっぱり文章を読む時は一つ一つ目で追って行ってるんじゃなくて、1つの文章をパッと見た時に1つの視界の中に漏れなく収まるということが関係きているように感じる。
それで、二段組みとかだと、一行25文字ぐらいで20行が2段で、1000文字ぐらい。
なので、二段組みの本でページ数が300ページとかだと、文庫本にすると約1.4倍のページ数になるってことで、420ページぐらいになる。
まあ、それはどうでもいいんだけど、何故文庫本の小説って絶対に2段組みにはならないのか?1行読んで次の1行の先頭に目を移す時に絶対に2段組みにしたほうがロスが少ないように感じる。
文庫本でも行が長いような感じがするんだけど、それが単行本とか一回りでかいサイズの本で2段組みとかじゃなくて、長い行にされるとフラストレーションが爆発しそうになる。
文庫本は2段組み、単行本は3段組み(もしかしたら4段組み)ぐらいの方が絶対に読みやすいと思うんだけど・・・
2段組み、3段組みにしても文字を追う時の距離は変わらないとして、問題は行の末端から行の先端に移動する時の差が読むスピードに関係していると考えられる。
しかし、段組みのされていない縦書きの文章において、行の長さをx、行間の長さをyとすると距離は
うーん、直観として感じたのと違う。やっぱり文章を読む時は一つ一つ目で追って行ってるんじゃなくて、1つの文章をパッと見た時に1つの視界の中に漏れなく収まるということが関係きているように感じる。
PR
三島由紀夫の作品は分かりやすく書かれているようで、回りくどかったり、登場人物が自分の行動を理解していなかったりと、何かと分かりずらいような気がする。
愛の渇きという小説では悦子というヤバイ女のことがずっと書かれている。
私が読んだ感じ、悦子の行動原理は良人が腸チフスになった時とかから最後まで変わっていないのではないかと思ったりする。
だからなんとか良人が腸チフスに侵されてから死ぬまでの悦子の行動を理解しようとするのだが、これが難しい。
悦子と良人の関係は冷め切っていて、良人は外に多くの女を作っている。悦子もそれに気付いている。むしろ良人は悦子にそれを気づかせてその反応を楽しんでいる、という感じなのである。良人が腸チフスになるまでは、なんていうか不幸な奥さんっていう感じで、二度ほど服毒自殺を遂げようとするような月並みな女(?)のように感じる。
しかし、良人が腸チフスになってから悦子はヤバくなる。というかそれより前にそうとうヤバくなっていたのだが、それがそれを契機に表に出てきちゃったように見える。良人が腸チフスになってからの悦子の行動で重要な独白となっているのは文庫版p54のところだと思う。
『もし良人が、もし良人がこの女を少しも愛していないのだったらどうしよう。私の苦しみは皆無駄になる。良人と私はたあだ空しい遊戯の苦しめ合いをしていたにすぎなくなる。それでは私の過去はみんな空虚な独り角力になってしまう。良人の目のなかに、今、どうしてもこの女への愛を見出さなければ、私は立ちいかない。もしかして、良人がこの女を、このほかの私が面会を断った三人の女のどれをも、愛していなかったとなれば、・・・・ああ!今さらそんな結果は怖ろしい。』
ヤバい女悦子!悦子はなんとかこの愛人と良人の面会に即して、良人がこの愛人を愛しているという印を必死で探そうとします。そしてそれらしきものは見つかる。何故悦子はそんなことをするのか。それは悦子は愛人に嫉妬をしたいからだと思う。この作品にはよく嫉妬という言葉が出てくる。
つまり、今までの愛人のことを良人が愛していなければ、今までしてきた悦子の嫉妬に意味がなくなってしまうということを悦子は恐れていて、それは本文中にある「私の過去はみんな空虚な独り角力になってしまう」ということなのだろう。とにかく悦子は嫉妬がしたい。
でもなんで嫉妬なんかしたいか。嫉妬という意味は次のようになっている。
[1] 人の愛情が他に向けられるのを憎むこと。また、その気持ち。特に、男女間の感情についていう。やきもち。悋気(りんき)。
[2] すぐれた者に対して抱くねたみの気持ち。ねたみ。そねみ。
悦子は良人の愛情が自分ではない愛人に向けてられていることに嫉妬をしているのだし、嫉妬をしたいと思っている。これは悦子が良人を愛してるということに他ならないのではないだろうか。良人を愛しているからこそ、自分が愛されずに愛人が愛されるとうい状況に嫉妬をしています。思うに、悦子は嫉妬をしなければ相手を愛しているということを実感できないのではないかと思う。
だから「嫉妬をする自分」無くして「人を愛する自分」というものが存在しないのではないだろうか。ここらへんがタイトルの「愛の渇き」というのに関係しているように感じる。
また、「良輔が健康になってはならない。健康になればまた逃げてゆく。飛び去ってしまう。」という言葉にあるように悦子は良人を愛していたと思いますし、愛するものへの独占欲がものすごく強いようです。愛人がお見舞いに来たときに腸チフスであることを告げられた愛人が愛する良輔の前でぎこちない動きになったのを見て、良人に真に献身的(?)に接せられるのは自分だけであると優越感を感じていましたし。
良人が助かることを憎み、早く死んで自分だけのものになることを望んでいるように感じます。また最後三郎を殺してしまったのも同様に自分だけのものにしたかったからなのかも。もとからそうなのか、途中から壊れてしまったのか、悦子のエゴイズムは半端じゃありません。
良人の愛人に嫉妬していたように、舅のところで生活を初めても美代という女に嫉妬をし始めます。愛を向ける矛先は三郎です。三郎がいない間に美代を解雇して、それを三郎に追わせようとして、またそこに嫉妬しようともします。めちゃくちゃです、悦子。
最後、三郎が本当に悦子を女として見て、体を求めてきますが、この時悦子はそれを喜ぶ反面助けを求める声を上げてしまいます。これは嫉妬がなくなった関係に悦子は愛を見出せないため、このままでは三郎を愛せなくなるからなんではないでしょうか。
悦子はこれからもずっと嫉妬してくんでしょうね。
愛の渇きという小説では悦子というヤバイ女のことがずっと書かれている。
私が読んだ感じ、悦子の行動原理は良人が腸チフスになった時とかから最後まで変わっていないのではないかと思ったりする。
だからなんとか良人が腸チフスに侵されてから死ぬまでの悦子の行動を理解しようとするのだが、これが難しい。
悦子と良人の関係は冷め切っていて、良人は外に多くの女を作っている。悦子もそれに気付いている。むしろ良人は悦子にそれを気づかせてその反応を楽しんでいる、という感じなのである。良人が腸チフスになるまでは、なんていうか不幸な奥さんっていう感じで、二度ほど服毒自殺を遂げようとするような月並みな女(?)のように感じる。
しかし、良人が腸チフスになってから悦子はヤバくなる。というかそれより前にそうとうヤバくなっていたのだが、それがそれを契機に表に出てきちゃったように見える。良人が腸チフスになってからの悦子の行動で重要な独白となっているのは文庫版p54のところだと思う。
『もし良人が、もし良人がこの女を少しも愛していないのだったらどうしよう。私の苦しみは皆無駄になる。良人と私はたあだ空しい遊戯の苦しめ合いをしていたにすぎなくなる。それでは私の過去はみんな空虚な独り角力になってしまう。良人の目のなかに、今、どうしてもこの女への愛を見出さなければ、私は立ちいかない。もしかして、良人がこの女を、このほかの私が面会を断った三人の女のどれをも、愛していなかったとなれば、・・・・ああ!今さらそんな結果は怖ろしい。』
ヤバい女悦子!悦子はなんとかこの愛人と良人の面会に即して、良人がこの愛人を愛しているという印を必死で探そうとします。そしてそれらしきものは見つかる。何故悦子はそんなことをするのか。それは悦子は愛人に嫉妬をしたいからだと思う。この作品にはよく嫉妬という言葉が出てくる。
つまり、今までの愛人のことを良人が愛していなければ、今までしてきた悦子の嫉妬に意味がなくなってしまうということを悦子は恐れていて、それは本文中にある「私の過去はみんな空虚な独り角力になってしまう」ということなのだろう。とにかく悦子は嫉妬がしたい。
でもなんで嫉妬なんかしたいか。嫉妬という意味は次のようになっている。
[1] 人の愛情が他に向けられるのを憎むこと。また、その気持ち。特に、男女間の感情についていう。やきもち。悋気(りんき)。
[2] すぐれた者に対して抱くねたみの気持ち。ねたみ。そねみ。
悦子は良人の愛情が自分ではない愛人に向けてられていることに嫉妬をしているのだし、嫉妬をしたいと思っている。これは悦子が良人を愛してるということに他ならないのではないだろうか。良人を愛しているからこそ、自分が愛されずに愛人が愛されるとうい状況に嫉妬をしています。思うに、悦子は嫉妬をしなければ相手を愛しているということを実感できないのではないかと思う。
だから「嫉妬をする自分」無くして「人を愛する自分」というものが存在しないのではないだろうか。ここらへんがタイトルの「愛の渇き」というのに関係しているように感じる。
また、「良輔が健康になってはならない。健康になればまた逃げてゆく。飛び去ってしまう。」という言葉にあるように悦子は良人を愛していたと思いますし、愛するものへの独占欲がものすごく強いようです。愛人がお見舞いに来たときに腸チフスであることを告げられた愛人が愛する良輔の前でぎこちない動きになったのを見て、良人に真に献身的(?)に接せられるのは自分だけであると優越感を感じていましたし。
良人が助かることを憎み、早く死んで自分だけのものになることを望んでいるように感じます。また最後三郎を殺してしまったのも同様に自分だけのものにしたかったからなのかも。もとからそうなのか、途中から壊れてしまったのか、悦子のエゴイズムは半端じゃありません。
良人の愛人に嫉妬していたように、舅のところで生活を初めても美代という女に嫉妬をし始めます。愛を向ける矛先は三郎です。三郎がいない間に美代を解雇して、それを三郎に追わせようとして、またそこに嫉妬しようともします。めちゃくちゃです、悦子。
最後、三郎が本当に悦子を女として見て、体を求めてきますが、この時悦子はそれを喜ぶ反面助けを求める声を上げてしまいます。これは嫉妬がなくなった関係に悦子は愛を見出せないため、このままでは三郎を愛せなくなるからなんではないでしょうか。
悦子はこれからもずっと嫉妬してくんでしょうね。
これはなんというかとてつもない作品ですね!
就活が思うようにうまくいかない人が多い今の時代に必要な小説ではないでしょうか。
私はこの作品は「どのように生きるか、何が真の幸福か」という哲学であるように感じました。
作品の情報を以下のようにまとめたいと思います。
○航空輸送会社の支配人 リヴィエール
部下たちのことを愛してはいるが、それが分からないようにしている。
厳しい規則を課し彼ら自身から脱却させている。
自分の行動に「部下たちを永遠なるものにするため」という目的を見出している。
彼には、この種の人間には、冒険の申請な意義がわからず、彼らが発する称賛の叫びは、かえってその意義を汚し、冒険を成し遂げた人間の価値を減少するとしか考えられなかったp29
人間ではなく、人間の欠点弱さに飛びつく。p32
厳しい規則を雇用者に課すp33
規則というものは、宗教でいうなら儀式のようなもので、ばかげたことのようだが、人間を鍛えてくれるp34
規律により彼ら自身から脱却させてやりたかった。p35
あの連中みんな幸福だ、なぜかというに、彼らは自分たちのしていることを愛しているから。彼らがそれを愛するのは、僕が厳格だからだ。p35
苦悩をも引きずっていく強い生活に向かって彼らを押しやらなければいけないのだ。これだけが意義のある生活だ。p35
部下との友情は部下を裏切ることになるp44
事務員に深い友情を感じたp54
公平、不公平は関係ない。罰することで事故は減少する。p55
彼はあわれみの心は美しいものだとしみじみ思った。
長い年月雇い続けた職人も例外なく罰する。p57
あれらの人々を、みな僕は愛している、僕が戦っているのは彼ら相手ではない。彼らの中をよぎるもの、つまり過失が僕の相手だp60
愛されようとするにはp68
神秘の世界から救うp69
生命力あるものは、生きるために、創造するために、自らの法律を成果圧するために、あらゆるものをけちらかすものなのだ。それは防ぎようのないことだp71
感動は人命を救う手助けにならないp86
事業と、個人的幸福は両立せず、相軋轢するものだからだ。p87
人間の生命には価値はないかもしれない。僕らは常に、何か人間の生命以上に価値のあるものが存在するかのように行為しているが、しからばそれはなんであろうか?p88
老と死とは、彼リヴィエール以上にむごたらしく、それを破壊する。p88
個人的な幸福よりは永続性のある救わるべきものが人生にあるかもしれない。ともすると、人間のその部分を救おうとして、リヴィエールが動いているのかもしれない?もしそうでなかったら、行動というものの説明がつかなくなる。p88
要は彼らを永遠なるものにするp89
人間が死滅することに対してあわれみを感じたのかもしれない。p89
僕らは自分たちを永遠なものにしようと願うべきではないかもしれないが、といって、行為や事物が急に異議を失うものだと考えるべきでもまたない。p103
たた一隻の船のおかげで、人々はいずれも自らに大を加え、自己を超越し、自由になったのだ。p105
生命がこの事業を動かすとき、はじめて、彼は人間の死滅に対して戦っていることになる。p105
生命は、こうした表象を超越して、すでに早くも新しい表象を準備しつつあった。p115
今度、リヴィエールが喫した敗北は、どちらかといえば、最も勝利に近い敗北だった。p115
偉大なリヴィエール、自らの重たい勝利を背負って立つ勝利者リヴィエールp117
○リヴィエールに雇用される人達
・ファンビアン
飛行士。結婚して1か月。行方不明になる。
・ペルラン
飛行士。無事に帰還。
・ロビノー
リヴィーエルに雇われ監督という役目をしている。
部下を厳しい規則で罰する立場にあるため、寂しさを持っていて友情を分かち合いたいと思っている。
リヴィエールに理解を示している。
監督というものは、愛されるためにつくられたものではなく、報告を書くためにつくられたものだから。p32
ペルランと友情を分かち合いたいp36
ロビノーが親切な善意に動かされて、軽率にも、人間の愚かさを証拠だてるために来たものだとしか思えなくなった。p111
○ファンビアンの妻
リヴィエールと面会をし、ファンビアンへの愛情を伝える
夜間飛行という冒険的な行動を通して人間の崇高さというかなにかぼんやりしているが圧倒的なものを描こうとしていると思います。
印象的なのはファンビアンの妻がリヴィエールと面会した時にファンビアンへの愛情を訴えるが、あの場所では普段人間的と思われるような感情が邪魔で利己的で我儘になってしまっている場面です。人間味溢れる感傷が全く無価値であるかのように無下にされました。また、ファンビアンが行方不明になってしまい落ち込むリヴィエールに何か慰めの言葉をかけようとするロビノーに対して、「親切な善意に動かされて、軽率にも、人間の愚かさを証拠だてるために来たものだとしか思えなくなった。」と切り捨てています。リヴィエールもはやそのようなちっぽけな感情ではない、それを超えた(それを崇高であると言うのであれば)崇高な思想で動いているのだと思います。
人間の生命さえも価値がなくなってしまうような、何か人間の命よりも価値のある存在のためにリヴィエールは苦悩しながらも前進し戦っていきます。人間を超越した何か、普遍的な何か、永遠なる何かのためにリヴィエールはファンビアンが行方不明になったということに負けず歩き出します。
ここまでくると凄すぎてなんだかリヴィエールが人間じゃないような、人間を超越した存在になろうとしているように思えます。ニーチェの超人思想も思い出してしまいます。
夜間飛行ではリヴィエールの考えが随所に表れますが、ファンビアンの心の内はあまり文章に出てきません。辛く過酷な飛行の描写は多くありますが、何を思い、何を考えているのか詳しくは分かりません。
リヴィエールは何を考え、部下たちに厳しい仕事を命令しているのかというのは何となく分かるような気がします。なので私が一番知りたいのはファンビアンやペルランという飛行士が何を思い、この夜間飛行という命懸けの仕事を行っているのか、ということです。お金のためだけであれば他にいくらでも楽な仕事はあるように思います。また、ファンビアンの家での描写ではファンビアンはこの仕事を嫌がっているような節はありませんでした。文章に明確に書かれている訳ではありませんが、金銭や名声などというつまらないもののためではないように感じます。ファンビアンやペルランもリヴィエールに服従し、厳しい命令を遂行する事によって自分たちが尊い永遠の存在に昇華されていくのを感じていたのでしょうか。
もちろん、このリヴィーエルのような姿勢が今の社会人に必要なものかどうかは人それぞれが考えることだと思います。ただ、お金や地位や友人といったものだけでなく、人間にとってもっと本質的なもっと大事な何かがあるのではないでしょうか。
余談ですが文庫の表紙は宮崎駿監督が描いており、そこで思い出すのがやはり「紅の豚」です。紅の豚に出てくるマダム・ジーナは3回飛行士と結婚していますが3回とも死別しています。ファンビアンの妻と被るところがあります。
就活が思うようにうまくいかない人が多い今の時代に必要な小説ではないでしょうか。
私はこの作品は「どのように生きるか、何が真の幸福か」という哲学であるように感じました。
作品の情報を以下のようにまとめたいと思います。
○航空輸送会社の支配人 リヴィエール
部下たちのことを愛してはいるが、それが分からないようにしている。
厳しい規則を課し彼ら自身から脱却させている。
自分の行動に「部下たちを永遠なるものにするため」という目的を見出している。
彼には、この種の人間には、冒険の申請な意義がわからず、彼らが発する称賛の叫びは、かえってその意義を汚し、冒険を成し遂げた人間の価値を減少するとしか考えられなかったp29
人間ではなく、人間の欠点弱さに飛びつく。p32
厳しい規則を雇用者に課すp33
規則というものは、宗教でいうなら儀式のようなもので、ばかげたことのようだが、人間を鍛えてくれるp34
規律により彼ら自身から脱却させてやりたかった。p35
あの連中みんな幸福だ、なぜかというに、彼らは自分たちのしていることを愛しているから。彼らがそれを愛するのは、僕が厳格だからだ。p35
苦悩をも引きずっていく強い生活に向かって彼らを押しやらなければいけないのだ。これだけが意義のある生活だ。p35
部下との友情は部下を裏切ることになるp44
事務員に深い友情を感じたp54
公平、不公平は関係ない。罰することで事故は減少する。p55
彼はあわれみの心は美しいものだとしみじみ思った。
長い年月雇い続けた職人も例外なく罰する。p57
あれらの人々を、みな僕は愛している、僕が戦っているのは彼ら相手ではない。彼らの中をよぎるもの、つまり過失が僕の相手だp60
愛されようとするにはp68
神秘の世界から救うp69
生命力あるものは、生きるために、創造するために、自らの法律を成果圧するために、あらゆるものをけちらかすものなのだ。それは防ぎようのないことだp71
感動は人命を救う手助けにならないp86
事業と、個人的幸福は両立せず、相軋轢するものだからだ。p87
人間の生命には価値はないかもしれない。僕らは常に、何か人間の生命以上に価値のあるものが存在するかのように行為しているが、しからばそれはなんであろうか?p88
老と死とは、彼リヴィエール以上にむごたらしく、それを破壊する。p88
個人的な幸福よりは永続性のある救わるべきものが人生にあるかもしれない。ともすると、人間のその部分を救おうとして、リヴィエールが動いているのかもしれない?もしそうでなかったら、行動というものの説明がつかなくなる。p88
要は彼らを永遠なるものにするp89
人間が死滅することに対してあわれみを感じたのかもしれない。p89
僕らは自分たちを永遠なものにしようと願うべきではないかもしれないが、といって、行為や事物が急に異議を失うものだと考えるべきでもまたない。p103
たた一隻の船のおかげで、人々はいずれも自らに大を加え、自己を超越し、自由になったのだ。p105
生命がこの事業を動かすとき、はじめて、彼は人間の死滅に対して戦っていることになる。p105
生命は、こうした表象を超越して、すでに早くも新しい表象を準備しつつあった。p115
今度、リヴィエールが喫した敗北は、どちらかといえば、最も勝利に近い敗北だった。p115
偉大なリヴィエール、自らの重たい勝利を背負って立つ勝利者リヴィエールp117
○リヴィエールに雇用される人達
・ファンビアン
飛行士。結婚して1か月。行方不明になる。
・ペルラン
飛行士。無事に帰還。
・ロビノー
リヴィーエルに雇われ監督という役目をしている。
部下を厳しい規則で罰する立場にあるため、寂しさを持っていて友情を分かち合いたいと思っている。
リヴィエールに理解を示している。
監督というものは、愛されるためにつくられたものではなく、報告を書くためにつくられたものだから。p32
ペルランと友情を分かち合いたいp36
ロビノーが親切な善意に動かされて、軽率にも、人間の愚かさを証拠だてるために来たものだとしか思えなくなった。p111
○ファンビアンの妻
リヴィエールと面会をし、ファンビアンへの愛情を伝える
夜間飛行という冒険的な行動を通して人間の崇高さというかなにかぼんやりしているが圧倒的なものを描こうとしていると思います。
印象的なのはファンビアンの妻がリヴィエールと面会した時にファンビアンへの愛情を訴えるが、あの場所では普段人間的と思われるような感情が邪魔で利己的で我儘になってしまっている場面です。人間味溢れる感傷が全く無価値であるかのように無下にされました。また、ファンビアンが行方不明になってしまい落ち込むリヴィエールに何か慰めの言葉をかけようとするロビノーに対して、「親切な善意に動かされて、軽率にも、人間の愚かさを証拠だてるために来たものだとしか思えなくなった。」と切り捨てています。リヴィエールもはやそのようなちっぽけな感情ではない、それを超えた(それを崇高であると言うのであれば)崇高な思想で動いているのだと思います。
人間の生命さえも価値がなくなってしまうような、何か人間の命よりも価値のある存在のためにリヴィエールは苦悩しながらも前進し戦っていきます。人間を超越した何か、普遍的な何か、永遠なる何かのためにリヴィエールはファンビアンが行方不明になったということに負けず歩き出します。
ここまでくると凄すぎてなんだかリヴィエールが人間じゃないような、人間を超越した存在になろうとしているように思えます。ニーチェの超人思想も思い出してしまいます。
夜間飛行ではリヴィエールの考えが随所に表れますが、ファンビアンの心の内はあまり文章に出てきません。辛く過酷な飛行の描写は多くありますが、何を思い、何を考えているのか詳しくは分かりません。
リヴィエールは何を考え、部下たちに厳しい仕事を命令しているのかというのは何となく分かるような気がします。なので私が一番知りたいのはファンビアンやペルランという飛行士が何を思い、この夜間飛行という命懸けの仕事を行っているのか、ということです。お金のためだけであれば他にいくらでも楽な仕事はあるように思います。また、ファンビアンの家での描写ではファンビアンはこの仕事を嫌がっているような節はありませんでした。文章に明確に書かれている訳ではありませんが、金銭や名声などというつまらないもののためではないように感じます。ファンビアンやペルランもリヴィエールに服従し、厳しい命令を遂行する事によって自分たちが尊い永遠の存在に昇華されていくのを感じていたのでしょうか。
もちろん、このリヴィーエルのような姿勢が今の社会人に必要なものかどうかは人それぞれが考えることだと思います。ただ、お金や地位や友人といったものだけでなく、人間にとってもっと本質的なもっと大事な何かがあるのではないでしょうか。
余談ですが文庫の表紙は宮崎駿監督が描いており、そこで思い出すのがやはり「紅の豚」です。紅の豚に出てくるマダム・ジーナは3回飛行士と結婚していますが3回とも死別しています。ファンビアンの妻と被るところがあります。
カテゴリー
最新記事
(07/22)
(03/09)
(11/26)
(10/16)
(10/13)
最新トラックバック
ブログ内検索
リンク
プロフィール
HN:
smile
性別:
男性
アクセス解析
Amazon
